✨AI算命大師
議題選項
議題評分
#673726 - 2006-02-24 07:19:46 梁湘潤大師之用神沿革論
Wilson 韋爾生 離線

五福臨門
註冊: 2002-04-03
文章數: 5759
來自: 大馬
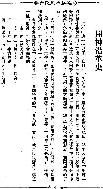
採自梁湘潤大師之大作 -- 余氏用神辭淵

註:
1. 余氏指余春台
2. 相關相本即坊間的欄江網、窮通寶鑑及造化元鑰的用神

有興趣討論者,請購原作。





附加檔案
1765469-3a.jpg


_________________________
若所寫的(有關解惑)對你有所提點或幫助,請務必隨緣捐獻或行一善事。

性格控制命運,
命運決定人生;
您的過去建構您的現在,
您的現在導向您的未來。
↑回到頂端↑
#673727 - 2006-02-24 07:31:07 Re: 梁湘潤大師之用神沿革論
Wilson 韋爾生 離線

五福臨門
註冊: 2002-04-03
文章數: 5759
來自: 大馬
繼續



附加檔案
1765499-3b.jpg


_________________________
若所寫的(有關解惑)對你有所提點或幫助,請務必隨緣捐獻或行一善事。

性格控制命運,
命運決定人生;
您的過去建構您的現在,
您的現在導向您的未來。
↑回到頂端↑
#673728 - 2006-02-24 07:32:45 Re: 梁湘潤大師之用神沿革論
北海ㄚ忠 離線
五福臨門
註冊: 2003-01-24
文章數: 5438
來自: 臺灣台中
不是本來就這樣嗎~~~
就是有用之神~~~
那個取用點~~~
_________________________
諾那華藏經舍

諾那華藏論壇
--------------------
是對是錯且不管你,笑聲歌聲傳我傳奇,管不了是是非非,
那恩恩怨怨啥把戲,作人管不了這許多,不過是一齣戲。
是正是邪不處理,要愛要情隨便你,管不了是是非非,
那恩恩怨怨啥道理,作人管不了這許多,不過是一齣戲。
讓我們找開心快活去,讓我們尋開心快樂去,
快樂的人生一切是遊戲,歡樂的人生是我和你,
笑一聲醉醒之間,難得糊塗,開心做一齣戲。
萬事由天莫苦求。子孫綿遠褔悠悠。飲三杯酒休胡亂。得一帆風便可收。
生事事生何日了。害人人害幾時休。冤家宜解不宜結。各自回頭看後頭。
↑回到頂端↑
#673729 - 2006-02-24 07:35:09 Re: 梁湘潤大師之用神沿革論
Wilson 韋爾生 離線

五福臨門
註冊: 2002-04-03
文章數: 5759
來自: 大馬
回應:

繼續







附加檔案
1765508-4a.jpg


_________________________
若所寫的(有關解惑)對你有所提點或幫助,請務必隨緣捐獻或行一善事。

性格控制命運,
命運決定人生;
您的過去建構您的現在,
您的現在導向您的未來。
↑回到頂端↑
#673730 - 2006-02-24 07:38:49 Re: 梁湘潤大師之用神沿革論
Wilson 韋爾生 離線

五福臨門
註冊: 2002-04-03
文章數: 5759
來自: 大馬
回應:

繼續







附加檔案
1765520-4b.jpg


_________________________
若所寫的(有關解惑)對你有所提點或幫助,請務必隨緣捐獻或行一善事。

性格控制命運,
命運決定人生;
您的過去建構您的現在,
您的現在導向您的未來。
↑回到頂端↑
#673731 - 2006-02-24 07:41:41 Re: 梁湘潤大師之用神沿革論
Wilson 韋爾生 離線

五福臨門
註冊: 2002-04-03
文章數: 5759
來自: 大馬
回應:

繼續








附加檔案
1765533-5.jpg


_________________________
若所寫的(有關解惑)對你有所提點或幫助,請務必隨緣捐獻或行一善事。

性格控制命運,
命運決定人生;
您的過去建構您的現在,
您的現在導向您的未來。
↑回到頂端↑
#673732 - 2006-02-24 13:38:10 Re: 梁湘潤大師之用神沿革論
John Bill 離線
或躍在淵
註冊: 2006-02-16
文章數: 260
來自: NEW YORK
關於用神的兩本著作,《攔江網》、《子平真詮》,梁大師有詳細導讀的著作
《余氏用神辭淵》和《沈氏用神例解》,可供參考。另外,他的《子平秘要》中對用神有詳細解釋並有《四聯用神表》(現在流傳很廣,被衆多命學著作引用),值得細讀。
↑回到頂端↑





本站是個命理討論的園地,如果您要問命,請務必詳閱各板板規,遵守發問規則,不要只留個生日或是命盤, 其他什麼都沒提。貼命盤的方法請特別注意算完命盤後的文字說明,不要貼個沒人看懂歪七扭八的命盤, 貼錯命盤及未遵守板規者,文章很有可能被不預警刪除 另外,如果您提了問題,而有人回覆的話,不論對與錯,請務必多上來回應論命者, 我們不歡迎那種提了問題就等人回答,也不回應的人。我們需要的是,「良好的互動」及「長期的追蹤」。
本站大多數的討論區都得要註冊才能發言,您若是要張貼討論,請務必註冊為使用者, 如果您忘了您的密碼,請在登入」的畫面, 輸入您的帳號,再按一下我忘記我的密碼了」, 此時系統會寄一封信到您當時註冊的 Email 信箱裡面, 裡面則附有一個臨時密碼,請您拿到密碼後用此臨時密碼登入。登入之後可以在 編輯個人檔案」裡面修改成您習慣的密碼。
logo
欣洋網路有限公司