✨AI算命大師
議題選項
議題評分
#1870759 - 2016-08-06 03:33:16 DMI 指標介紹
william 離線
雙喜臨門
註冊: 1999-12-21
文章數: 2028
來自: 台北市
DMI 指標介紹

DMI 指標的原文是Directional Movement Index,原文的意思是「方向移動」指標,顧名思義就是可以讓您直接看出股價變動方向的指標.這個指標是威爾德(J. Welles Wilder)大師自認為相當得意之作,這個指標普遍受到技術分析師的好評與肯定,不過這也是一個計算步驟極為繁複的指標,如果沒有清楚的解說計算步驟的話,是不易徹底理解的.

先說明DMI的計算過程:

有了上面各步驟的計算過程後,我們再搭配附表1與附表2的計算實例,就更容易徹解理解了.

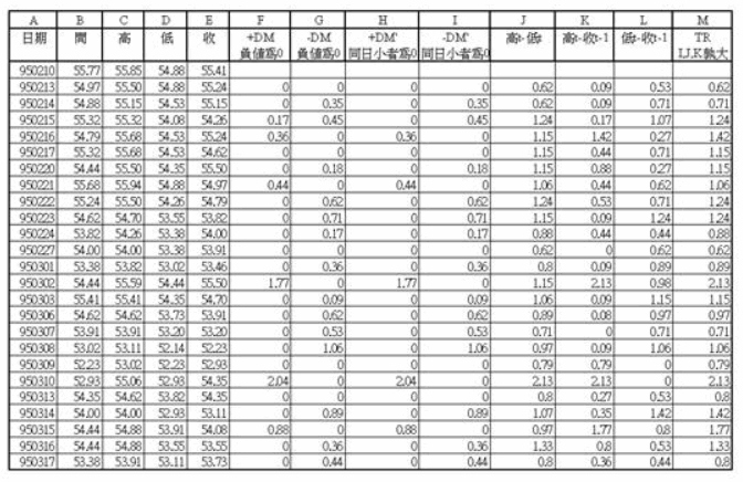
第一步首先求趨向變動值,附表1中的F欄+DM是由今日最高價減昨日最高價而得,即C欄的今日值減昨日值,注意只取正值,若為負值則令其為零.G欄-DM是由「昨日最低價減今日最低價」,即D欄的昨日值減今日值而得,注意同樣只取正值,若為負值則令其為零.

接下來,再將F欄的+DM與G欄的-DM相互比較,如果同一天的+DM與-DM值相比,較小者則令其為零;如果同一天兩個數字大小相等,則兩者都令其為零.這樣就可以得到H欄的+DM’與I欄-DM’的資料.(特別要注意的是:-DM前面的負號只是一個符號而已,提示我們這個數列是指向下跌的力道,它的數字都是「正值或零」的).

第二步,要求算TR最大真實變動量,這與在ATR指標中求算TR值是完全相同的.方法如下:在計算TR (True Range)這個數列時,它指的是在以下三個數字中最大的那個數字:1. 今日最高價減最低價 ;2. 今日最高價減昨日收盤價;3. 今日最低價減昨日收盤價的絕對值.

TR(在此指的是今天股價真正的波動範圍)之所以這樣設計的原因在於:1.如果今天股價跟昨天相比沒有劇烈漲跌,那麼今天的波動範圍就是今日最高價減去今日最低價;2.如果今天大盤是跳空上漲,而且這個空沒有被回補,那麼如果還是以今高減今低當作今天價格的波動幅度,那顯然就遺漏了跳空上漲的部份,所以要將那部份加回來,所以今天TR就是今日最高價減去昨日收盤價;3.如果今天大盤是跳空下漲,而且這個空沒有被回補,那麼如果還是以今高減今低當作今天價格的波動幅度,那顯然就遺漏了跳空下跌的部份,所以要將那部份加回來,所以今天TR就是今日最低價減去昨日收盤價的「絕對值」.注意,我們對真正的波幅都是取「正值」.

所以我們可以將TR寫成下式:

TRt = MAX ( (Ht-Lt ) , ( Ht- Ct-1) , ( Lt-Ct-1) )

附表1中的J、K、L三欄中的最大值,就是M欄TR中的數字.

有了附表1中的H、I、M這三欄的數字,我們就可以求算第三步的「方向線」.我們先將這三個數列都取KD式的平滑(與KD指標中計算Kt線的方式完全相同的平滑均線),這兩種平滑均線的表達方式雖然不同,但其內容完全一樣,我們以下式來證明:

KD式平滑公式為

ADMt = (1- 1/N ) * ADMt-1 + (1/N) * +DIt

此處的公式為

ADMt = ADMt-1 + ( +DIt - ADM t-1 ) / N
  = ADMt-1 + ( +DI t ) / N -(ADMt-1) / N
  = (1- 1/N ) * ADMt-1 + (1/N) * +DIt

可見兩個公式完全相同,不過如果在沒有電腦設備可用之下,似乎此處所用的公式較KD指標公式中所使用的平滑方式更簡便,更易於手算.

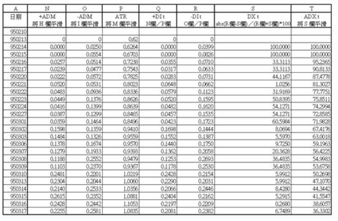
我們將H欄的+DM’平滑後得到附表2中N欄的+ADM;將I欄的-DM’平滑後得到O欄的-ADM;將M欄的TR平滑後得到P欄的ATR.

有了N、O、P這三列數字後,將+ADM除以ATR即得到Q欄的 +DIt (此即為指標中的第一條線);將-AMD除以ATR即得到R欄的-DT t(此即為指標中的第二條線).

然後,再將再將Q、R兩欄的數字相減取絕對值,作為分子;將兩欄的數字相加,作為分母;再將兩者相除,得到S欄的DXt.最後再將DXt予以KD式平滑即得到ADXt線( 指標中的第三條線).

說到這裡,讀者們應該對整個計算過程有了一個透徹的理解.DMI公式的設計理念到此也就更容易被理解了.原來DMI說的是:在每日股價的真正波動幅度(TR)中,往上創新高的力量有多少(+DI t線);以及往下創新低的力量又有多少(-DI t線).所以,只要+DI值大於-DI值,那麼就是買盤力道強於賣盤,是股價的漲升階段,該買進;反之,如果是-DI大於 +DI值,那麼就是賣盤力道強於買盤,是股價的下跌階段,該賣出.

最後,威爾德乾脆又作了個指標,將這兩條線設計了一個特別的公式,直接以這指標來指示股價的變動方向,這指標是ADXt 線.這條線向上則股價上漲,這條線向下,則股價下跌.不過,在實證上,這條ADXt線的準確性不是很好.反而不如直接將+DI線直接減去-DI線所得到的DMO(Directional Movement Oscillator)趨向擺盪線來得準確.

附圖1所示即為DMI指標圖,下半圖中有三條線,紅線是+DI表示買盤力道線;綠線是-DI表示賣盤力道線;而藍色粗線是ADX,為漲跌方向線.從圖中可知,這個指標的買盤與賣盤力道線有些雜亂,如果以這兩條線的交叉點來決定進出,似乎不易有明確的指示.而且ADX所指示的股價變動方向根本是不對的.

上半圖中的淺藍色線條是DMO指標,,其實它還比較貼近行情的變動,只要將這條線再取兩條KD式的平滑,利用其交叉點來決定進出,相信效果會更好.



附加檔案
DMI1.GIF

DMI2.GIF

DMI3.GIF




編輯者: william (2016-08-06 03:34:42)
↑回到頂端↑
廣告
#1926897 - 2017-04-22 16:18:02 Re: DMI 指標介紹
coolwind 離線
久盛不衰
註冊: 1999-12-21
文章數: 9718
來自: 台北彭泉源
我愛用這個指標,
_________________________
八字生涯的專門,妙用五行自然法的精微甚深造化.

迴向
希望我的老師可以長住於世.利益眾生.
律己
所有的錯誤,都從自己要求開始反省.罵別人是沒用的.

網路終將對政治產生革命性的變化.
基本要素,還是無謂粉飾?中心本質,還是操作技巧?大勢所趨,還是一時流行?創新突破,還是精進改善?
統派才是主流,慈悲才是真正的力量,應設定世界村的標準,來整合各個成員.若不此途,只是自絕生路於邊陲.
慈悲統一世界村.這是我對佛教的體悟.獨是錯的,強調自我的意識是沒有必要的.自私的人只是更笨而已.與慈悲的價值顛倒.
↑回到頂端↑





本站是個命理討論的園地,如果您要問命,請務必詳閱各板板規,遵守發問規則,不要只留個生日或是命盤, 其他什麼都沒提。貼命盤的方法請特別注意算完命盤後的文字說明,不要貼個沒人看懂歪七扭八的命盤, 貼錯命盤及未遵守板規者,文章很有可能被不預警刪除 另外,如果您提了問題,而有人回覆的話,不論對與錯,請務必多上來回應論命者, 我們不歡迎那種提了問題就等人回答,也不回應的人。我們需要的是,「良好的互動」及「長期的追蹤」。
本站大多數的討論區都得要註冊才能發言,您若是要張貼討論,請務必註冊為使用者, 如果您忘了您的密碼,請在登入」的畫面, 輸入您的帳號,再按一下我忘記我的密碼了」, 此時系統會寄一封信到您當時註冊的 Email 信箱裡面, 裡面則附有一個臨時密碼,請您拿到密碼後用此臨時密碼登入。登入之後可以在 編輯個人檔案」裡面修改成您習慣的密碼。
logo
欣洋網路有限公司