✨AI算命大師
議題選項
議題評分
#1871474 - 2016-08-09 09:43:27 反時鐘方向線 介紹
william 離線
雙喜臨門
註冊: 1999-12-21
文章數: 2028
來自: 台北市
反時鐘方向線介紹

反時鐘方向線又稱為「逆時針曲線」,這個指標是將收盤價的簡單平均值與成交量的簡單平均值畫在一個座標圖中,將量畫在縱軸,價畫在橫軸(反之亦可),藉由線形的變動來判斷股價後巿的可能變動方向。基本上,這個指標是「量價關係理論」的一個應用。

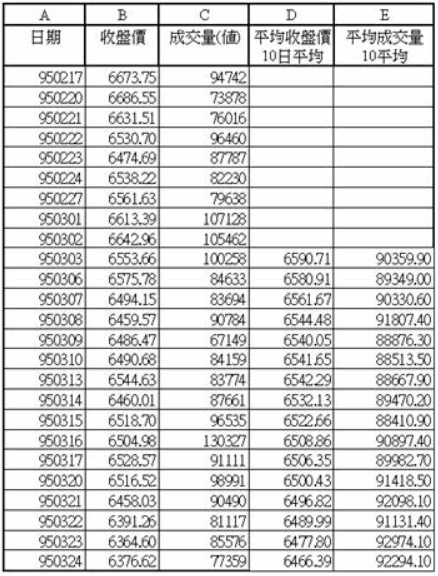
將附表1的D欄與E欄的數字,畫在座標圖上,以D欄平均成交量為縱軸,以E欄平均收盤價為橫軸,逐日將之點在座標圖上,再將每個點連起來,即可得到一個類似附圖1所示的反時鐘方向線。

在繪製反時鐘方向線時,量與價所取的平均天數愈長,則其線形的變化方向愈穩定。附圖1為大立光的240天的量與價的年線所繪製的反時鐘方向線,從這個圖就可以清楚瞭解為什麼它要稱為反時鐘線了,因為從起點2005年3月開始迄2008年2月的終點為止,它的線形是呈反時鐘(逆時針)的方向轉動。在圖形中有兩個不連續的端點,為了確認哪個才是終點,我們在終點的這一端畫一個小圓圈,以便確認線形的轉動方向。

從點中也可看出,在階段1為價漲量增的量價配合;階段2為價跌量增的量價背離;階段3為價跌量縮的量價配合;階段4為價漲量縮的量價背離。這四個階段剛好清楚的標示了量價關係的四種狀況。


附加檔案
DIR1.GIF

DIR2.GIF


↑回到頂端↑
廣告





本站是個命理討論的園地,如果您要問命,請務必詳閱各板板規,遵守發問規則,不要只留個生日或是命盤, 其他什麼都沒提。貼命盤的方法請特別注意算完命盤後的文字說明,不要貼個沒人看懂歪七扭八的命盤, 貼錯命盤及未遵守板規者,文章很有可能被不預警刪除 另外,如果您提了問題,而有人回覆的話,不論對與錯,請務必多上來回應論命者, 我們不歡迎那種提了問題就等人回答,也不回應的人。我們需要的是,「良好的互動」及「長期的追蹤」。
本站大多數的討論區都得要註冊才能發言,您若是要張貼討論,請務必註冊為使用者, 如果您忘了您的密碼,請在登入」的畫面, 輸入您的帳號,再按一下我忘記我的密碼了」, 此時系統會寄一封信到您當時註冊的 Email 信箱裡面, 裡面則附有一個臨時密碼,請您拿到密碼後用此臨時密碼登入。登入之後可以在 編輯個人檔案」裡面修改成您習慣的密碼。
logo
欣洋網路有限公司