VR指標介紹
VR指標的原文是Volume Ratio,中文譯為「容量比率」,或者又稱為「數量指標」。其計算方式為針對特定期間內,累加上漲日的成交量作為分子,以及累加下跌日的成交量作為分母,然後將此兩數相除即得。
其計算公式為:
VRt=(UPVt + TVt/2)/(DNVt + TVt/2)*100
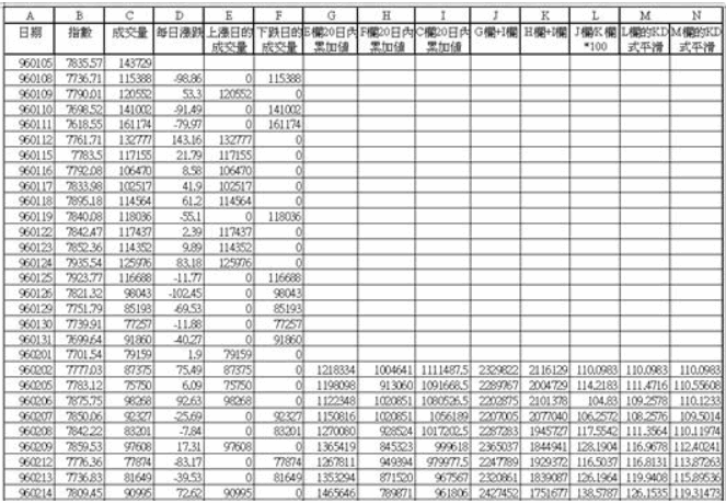
其中的UPVt為期間內股價上漲日的成交量累積值,而DNVt為期間內股價下跌日的成交量累積值。而TVt則為期間內各日成交量的累積值。這個公式之所以在分子及分母都再加上一個TVt的用意,一來,是用以降低整個VR值的波動度,否則成交量變動大的股票所算出的數值高低,可能差異很大。二來,最重要的目的是避免連續上漲數日時,分母可能會為零而無法計算。附表1即為台股指數的VR計算範例。附圖1則為台股指數VR指標的例子,圖中VR的兩條線,就是附表1中最後兩欄的數字。一般是將VR指標與股價K線劃在一起,這樣可以容易看出VR與股價的變動關係。
VR指標的設計原意,是要利用量價關係的基本原理,來作為研判股價的可能變動方向。如果VR公式中的分子與分母大小相同,則VR的數值會剛好等於100,表示計算期間內的上漲成交量等於下跌成交量;如果VR大於100,則表示上漲成交量大於下跌成交量;若VR小於100,則表示上漲成交量小於下跌成交量。不過,由於在股巿中,股價上漲時成交量的擴加比較沒有上限,可以擴增到數倍(甚或數十倍)之多;而當股價下跌時成交量的下降反而比較有限,頂多只降個幾十個百分點(最多不會超過100%),所以VR指標不會呈現出剛好以100為中心,上下波動幅度相同的情況,而是VR的高點會明顯大於100很多,而低點則小於100的程度不大。
在圖1中有兩個VR指標與股價走勢背離的例子,圖中用藍色箭頭所示的,就是股價繼續上揚,但VR所代表的上漲力道已將衰減,這就是股價在高點時的價漲量縮現象,代表追漲力道不足,後巿看跌的情形。而圖中另外用紅色箭頭所示的,也是量價背離的情形,不過這是股價在低點時的價漲量縮情形,代表巿場有惜售的現象。無論是股價在高點或低點所呈現出的背離情形,如果後巿要上漲,成交量還是一定要繼續放大才行,也就是VR指標要繼續擴大才可。也就是背離一定只能是短期現象,股價是不可能永遠靠惜售來上漲的。
從圖中可以看出,股價在高點時的背離情形比低點時要明顯,而且在高點時VR指標的尖頭反轉情形也比低點的反轉要來得清楚(即反轉的斜率更陡)。所以這個指標用來研判高點的有效性應該比研判低點時為佳。
最後,除了使用是否有量價背離的方法之外,我們也可以用兩條線的黃金交叉(如圖中的B點)或死亡交叉(如圖中的S點),來研判買賣點。
附加檔案
