✨AI算命大師
議題選項
議題評分
#1871000 - 2016-08-07 12:44:11 ADO 指標介紹
william 離線
雙喜臨門
註冊: 1999-12-21
文章數: 2028
來自: 台北市
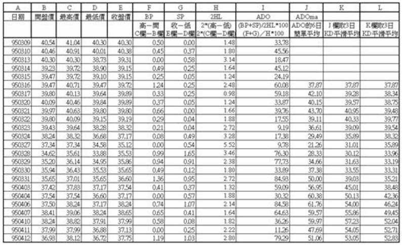
ADO指標的原文是Accumulation/Distribution Oscillator,直譯為「聚散擺盪」指標。它的計算公式如下:

ADO=( BP + SP ) / ( 2 * ( 最高價 - 最低價 ) ) * 100

其中 BP = 最高價-開盤價; SP=收盤盤-最低價 

算出ADO指標值之後,再求算其N日的簡單平均值,接著求算其簡單平均值的三日KD式平滑平均值ADOexp,接著再對ADOexp求其KD式三日平滑平均值即可。附表1即為其計算範例。

這個ADO公式看起來非常簡單,一點都不複雜,但卻有深意。用附圖1的圖形就可以清楚看出其設計的原意。公式的分子部份用BP 加SP,就是要特別強調其每根K棒的實體部份。假如今天是收一根帶上下影線都有的「陽線」,因為陽線是收盤高於開盤,所以BP部份會包括陽線的實體部份,SP部份也會包括實體部份,也就是實體線會被計算兩次,所以BP+SP的值就會比較大,只要實體線是陽線,不管長度再怎麼小,ADO值就一定大於50。

然而如果今天是收一根帶上下影線的「陰線」,因為陰線是收盤低於開盤,所以BP與SP兩部份都不會包括K線的實體部份,所以BP+SP的值就會比較小,只要實體線是陰線,不管長度再怎麼小,ADO值就一定小於50。而分母部份為當日的最高價減去最低價的價差,再乘以2。

到這裡我們就可以明瞭ADO指標何以要這樣設計的原因了。從附圖1可以看出,如果K棒是一根不帶任何上下影線的陽線,那麼它的ADO值就會是100,如果是一根不帶任何上下影線的陰線,那麼它的ADO值就會是0,這點可由圖中的紅色線所指的K線與其ADO值看出。

只要這根K棒有帶一點點的上影線或下影線,那麼它的ADO值就不會是0或100,這可由圖中的綠色線所指的K棒及其指標值看出。這個ADO指標值類似RSI,是在0與100之間擺盪。

所以這個指標的意義是陽線的實體部份出現的愈多,則其指標值將愈趨近100;陰線的實體部份出現的愈多,則其指標值愈接近0。

這個指標的研判方式有二:其一的短線看法,是其圖中的兩條線形成的向上黃金交叉或向下死亡交叉來界定其買賣點,但其買賣點出現的次數較多,不免會有錯誤的雜訊出現。其二的較為長線的看法,是利用該指標值是否突破50或跌破50來界定其多空的買賣的,圖2的紅線為買點,而線線為賣點。



附加檔案
ADO1.GIF

ADO2.GIF

ADO3.GIF




編輯者: william (2016-08-07 12:45:26)
↑回到頂端↑
廣告





本站是個命理討論的園地,如果您要問命,請務必詳閱各板板規,遵守發問規則,不要只留個生日或是命盤, 其他什麼都沒提。貼命盤的方法請特別注意算完命盤後的文字說明,不要貼個沒人看懂歪七扭八的命盤, 貼錯命盤及未遵守板規者,文章很有可能被不預警刪除 另外,如果您提了問題,而有人回覆的話,不論對與錯,請務必多上來回應論命者, 我們不歡迎那種提了問題就等人回答,也不回應的人。我們需要的是,「良好的互動」及「長期的追蹤」。
本站大多數的討論區都得要註冊才能發言,您若是要張貼討論,請務必註冊為使用者, 如果您忘了您的密碼,請在登入」的畫面, 輸入您的帳號,再按一下我忘記我的密碼了」, 此時系統會寄一封信到您當時註冊的 Email 信箱裡面, 裡面則附有一個臨時密碼,請您拿到密碼後用此臨時密碼登入。登入之後可以在 編輯個人檔案」裡面修改成您習慣的密碼。
logo
欣洋網路有限公司